三角函数高分攻略
三张图+两种技巧,搞定必考点!
三角函数是数学的基石,也是考试的必争之地。面对繁多的公式和灵活多变的题目,不少同学感到无从下手。其实,攻克三角函数的关键在于:抓住核心图表,掌握解题技巧。
01核心根基:一张表打通图像与性质

这张表是三角函数的“命脉”,必须烂熟于心!
【应试速记法】
对比记忆:重点对比 sin x 和 cos x 的最值点、对称轴、单调区间。
记住规律:sin x 的对称轴是 x = kπ + π/2,cos x 的对称轴是 x = kπ。
“基准+周期”:所有性质(如单调增区间)都是在一个基本区间后加上 + 2kπ。做题时先找到核心周期内的性质,再推广到整个定义域。
【考法直击】
小题中直接判断函数性质,大题中求单调区间、对称轴,第一步都是将函数化为 y=Asin(ωx+φ) 的标准形式,再套用上表的结论。
02核武器库:解三角形公式系统

解三角形是大题重镇,公式是解题的武器。
【应用技巧】
1.题目出现“两角一边”或“两边一对角” → 首选 正弦定理。
2.题目出现“两边一夹角”或“三边” → 首选 余弦定理。3.求面积 → 直接用 面积公式 S = 1/2 ab sin C。【抢分模板】大题即使没完全做完,也要按步骤得分:1.写条件:在△ABC中,已知……2.套公式:由正弦/余弦定理得:a²=b²+c²-2bc cosA……
3.代数据:代入数值计算。
4.写结论:故,边长/角度为……
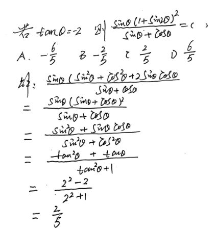
03满分技巧:“齐次式”速解法
【技巧精髓】
识别标志:已知 tanθ 的值,求关于 sinθ 和 cosθ 的复杂分式。
操作三步走:
1.化标准:利用 sin²θ + cos²θ = 1,将分子分母每一项都变为关于 sinθ 和 cosθ 的同次项。
2.同除:分子分母同时除以 cosθ 的最高次幂。
3.转化:将式子全部转化为关于 tanθ 的表达式,代入计算。
【实例秒杀】

1.将1+sin2θ化为 (sinθ+cosθ)²,与原式约分。
2.得到sinθ(sinθ+cosθ),此时已是“齐二次”。
3.分子分母同除以cos²θ,得到(tan²θ + tanθ)。
4.代入tanθ=-2,秒得答案 2/5。
别再淹没在题海里!面对繁杂的三角函数,“精准复习”远比“盲目刷题”更重要。把有限的精力投入到最高效的路径上,你不仅能收获分数的提升,更能获得一种“万物皆在掌控”的自信。从掌握核心开始,让你的每一分努力,都掷地有声!
撰稿 | 巨 轩(升学部教研室)
初审 | 王 洁
终审 | 杨新潮
编辑 | 王淑萍
姓名:
电话:
我想报考的专业:
提交
您所提交的信息将严格保密,请静待老师电话回复。